Notice
Recent Posts
Recent Comments
Link
«   2025/10   »
1 2 3 4
5 6 7 8 9 10 11
12 13 14 15 16 17 18
19 20 21 22 23 24 25
26 27 28 29 30 31
Tags
more
Archives
Today
Total
관리 메뉴

개발자 도전기

[국비지원] 18일차 - nCr, nPr 본문

개발공부/TIL

[국비지원] 18일차 - nCr, nPr

jnnjnn 2024. 3. 1. 02:30

 

프로그래머스 입문 3페이지까지 완료😂

 

 

 

CS 스터디를 지난 주부터 시작했는데, 오늘 이번주 스터디도 완료하면서 2주차가 되었다. 매주 각자 주제를 정해서 발표하는 형식인데, 나는 이번주에 REST api에 대해서 조사했다. CRUD 방식이나 api에 대한 개념은 막연하게 알고 있었지만 이번에 발표를 준비하면서 더욱 잘 이해하게 되었다.

 

또 오늘 스터디원분이 공유해주신 문제 중에 모르는 개념이 있어 정리해본다

 

 

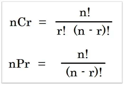
경우의 수를 구하는 방법에는 조합과 순열이 있다.

 

 

조합(nCr)은 n개 중 r개를 뽑아서 순서를 고려하지 않고 선택하는 방법의 수이고

순열(nPr)은 n개 중 r개를 뽑아서 순서 있게 나열하는 경우의 수이다,

 

위 문제의 머쓱이가 나누어 줄 구슬은 순서를 고려하지 않아도 되므로 조합에 해당한다.

 

특이점은 nCr 과 nCn-r의 값은 같다는 것이다

 

예를 들어 총 학생수가 5명일 때, 대회에 나갈 학생 2명을 뽑는 경우의 수대회에 나가지 않는 학생 3명을 뽑는 경우의 수는 동일하다는 것이다.

 

또, n-1Cr-1 + n-1Cr의 값은 nCr이다.

 

오늘은 이렇게 조합과 순열을 간단하게 알아보았다🌟

 

 

 

 

TIL


https://abc-datatype.tistory.com/61

 

[JAVA] String

문자열 비교 자바의 문자열은 String 객체에 저장되며 변수에는 객체의 번지가 대입된다. 문자열 리터럴이 동일한 경우에는 String 객체를 공유한다. new 연산자로 new String 객체를 생성했다면 새로

abc-datatype.tistory.com

 

https://abc-datatype.tistory.com/62

 

[JAVA] 형변환 함수 모음

char to int Character.forDigit(int, radix) radix : 진수 Character.getNumbericValue() char c = '1'; int n = Character.getNumericValue(c); System.out.println(n); // 결과: 1 String to Int Integer.parseInt() String str = "123"; int value = Integer.parseInt

abc-datatype.tistory.com